接待中心地址:江苏省南京市建邺区白龙江东街19号舜禹大厦五楼
项目地址:浦口核心板块核心工业区
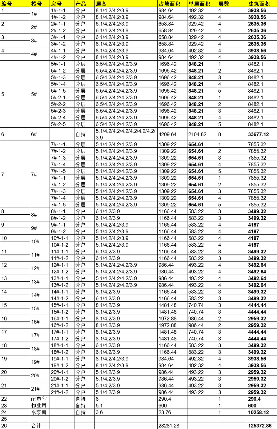
南京浦口桥林 独栋、分层研发厂房出售 分层650平起售 独栋2000平起售 只要您认可区位厂房适用 厂房的价格可谈 面谈
电话/手机:400-0123-021 或 中南高科上海总部招商总监 微信同号
要按企业的优秀程度进行优惠政策,具体价格,我们可上门了解企业生产工艺、发掘企业亮点、提供具体承接方案


占地约 97亩
智能制造、高端装备制造、精密仪器及机械
区域分布图

强势区位:位于南京市西北部,是国家重要医药基地,华东地区先进制造业基地、科教基地,辐射苏北、皖东等地区的城市副中心,与六合区共同构成南京江北新区。


交通优势:距南京北站项目驾车约34分钟。南京北站规划区内共计有南京地铁3号线、南京地铁4号线、南京地铁15号线、南京地铁s4号线4条轨道线。串联江北新主城、江南主城,以及南京站、南京南站、禄口机场等重要枢纽节点。
高速:两桥两隧三轨”(长江大桥、三桥,长江隧道、扬子江隧道,以及地铁10号线、3号线、s3号线)与江南主城相连。
高铁:到南京火车站、南京南站和禄口机场仅半小时车程。
机场:距离南京浦口机场仅半小时车程。

占地规模:园区共占地97亩,总投资达4.85亿元,亩均投资强度500万以上。
产业环境定位:高端交通装备、智能制造、电子信息等先进制造业等产业,以生产制造为主、研发设计为辅,打造集产学研、花园式办公为一体的现代化智造基地。
户型展示:






10# 4层面积约2059平方米
10# 4层面积约 2059平方米
7# 5层 面积约3273平方米
7# 5层面积约 3273平方米

产业招商/厂房租售:
或微信/手机:; ;
请说明您的需求、用途、税收、公司、联系人、手机号,以便快速帮您对接资源。
长按/扫一扫加葛毅明的微信号
扫一扫关注公众号
扫描二维码推送至手机访问。
凯发娱乐下载的版权声明:本文由公众号:园区产业招商发布,如需转载请注明出处。部份内容收集于网络,如有不妥之处请联系k8凯发删除 13391219793 仅微信











